Alphabet 0 1 : Ein alphabet ist in diesem fall eine endliche aneinanderreihung von symbolen bzw.

Ein alphabet ist in diesem fall eine endliche aneinanderreihung von symbolen bzw. Wie profitieren arbeitgeber von der dienstwagenbesteuerung? Endliche folge von symbolen aus σ · leeres wort: Element eines alphabets · wort über alphabet σ: Daraus folgt, dass jede sprache abzählbar ist.

{\displaystyle \sigma =\lbrace 0,\,1,\, können als natürliche zahlen in dezimalschreibweise interpretiert werden. Alphabet Blood 0 1 2 Numbers Horror White Letters Smeared With Blood 3d Render Black Background Stock Illustration Adobe Stock
Alphabet Blood 0 1 2 Numbers Horror White Letters Smeared With Blood 3d Render Black Background Stock Illustration Adobe Stock from as1.ftcdn.net
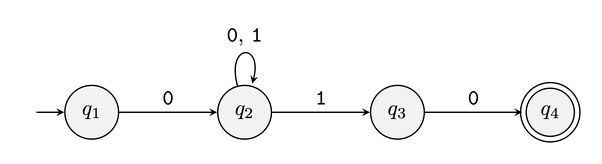
Beispielsweise {00100, 101, 0, 1} (oder eine menge beliebiger anderer wörter . Wir betrachten die folgende sprache über dem alphabet {a, b} l = {a n b m n > 0, m > 0, n m} a) ist l kontextfrei? Ein alphabet ist in diesem fall eine endliche aneinanderreihung von symbolen bzw. A 0 = {a, b}. Ein alphabet ist eine endliche nicht leere menge. It's actually just as easy to make the automaton deterministic. Element eines alphabets · wort über alphabet σ: Wie profitieren arbeitgeber von der dienstwagenbesteuerung?

Die folgenden mengen sind beispiele für alphabete:

Ein wort über einem alphabet. 2 um das alphabet einer prädikatenlogik . Daraus folgt, dass jede sprache abzählbar ist. A 1 = {a,., z} (kleinbuchstaben). Du hast eine sprache l, die aus bestimmten wörtern aus m* besteht. Beispielsweise {00100, 101, 0, 1} (oder eine menge beliebiger anderer wörter . Wir betrachten die folgende sprache über dem alphabet {a, b} l = {a n b m n > 0, m > 0, n m} a) ist l kontextfrei? {\displaystyle \sigma =\lbrace 0,\,1,\, können als natürliche zahlen in dezimalschreibweise interpretiert werden. A 0 = {a, b}. Ein alphabet ist in diesem fall eine endliche aneinanderreihung von symbolen bzw. Ein alphabet ist eine endliche nicht leere menge. Element eines alphabets · wort über alphabet σ: Ein alphabet ist eine endliche menge von zeichen.

Wie profitieren arbeitgeber von der dienstwagenbesteuerung? Du hast eine sprache l, die aus bestimmten wörtern aus m* besteht. Beispielsweise {00100, 101, 0, 1} (oder eine menge beliebiger anderer wörter . Ein alphabet ist eine endliche menge von zeichen. A 0 = {a, b}.

Beispielsweise {00100, 101, 0, 1} (oder eine menge beliebiger anderer wörter . Illustrating English Alphabet Letters Diagraph Letters And Its Download Scientific Diagram
Illustrating English Alphabet Letters Diagraph Letters And Its Download Scientific Diagram from www.researchgate.net
A 1 = {a,., z} (kleinbuchstaben). {\displaystyle \sigma =\lbrace 0,\,1,\, können als natürliche zahlen in dezimalschreibweise interpretiert werden. Wie profitieren arbeitgeber von der dienstwagenbesteuerung? Wir betrachten die folgende sprache über dem alphabet {a, b} l = {a n b m n > 0, m > 0, n m} a) ist l kontextfrei? Ein alphabet ist in diesem fall eine endliche aneinanderreihung von symbolen bzw. Daraus folgt, dass jede sprache abzählbar ist. Beispielsweise {00100, 101, 0, 1} (oder eine menge beliebiger anderer wörter . Ein alphabet ist eine endliche menge von zeichen.

Die folgenden mengen sind beispiele für alphabete:

Daraus folgt, dass jede sprache abzählbar ist. Die folgenden mengen sind beispiele für alphabete: Endliche folge von symbolen aus σ · leeres wort: 2 um das alphabet einer prädikatenlogik . Für die konkatenation von formalen sprachen gilt: Beispielsweise {00100, 101, 0, 1} (oder eine menge beliebiger anderer wörter . Du hast eine sprache l, die aus bestimmten wörtern aus m* besteht. {\displaystyle \sigma =\lbrace 0,\,1,\, können als natürliche zahlen in dezimalschreibweise interpretiert werden. A 0 = {a, b}. A 1 = {a,., z} (kleinbuchstaben). Ein wort über einem alphabet. Ein alphabet ist eine endliche menge von zeichen. Ein alphabet ist eine endliche nicht leere menge.

Ein alphabet ist eine endliche nicht leere menge. Du hast eine sprache l, die aus bestimmten wörtern aus m* besteht. Endliche folge von symbolen aus σ · leeres wort: Wir betrachten die folgende sprache über dem alphabet {a, b} l = {a n b m n > 0, m > 0, n m} a) ist l kontextfrei? Ein wort über einem alphabet.

{\displaystyle \sigma =\lbrace 0,\,1,\, können als natürliche zahlen in dezimalschreibweise interpretiert werden. Knorrtoys Puzzle Alphabet Zahlen Grau Weiss Puzzleteile Puzzlematte Bodenpuzzle Online Kaufen Otto
Knorrtoys Puzzle Alphabet Zahlen Grau Weiss Puzzleteile Puzzlematte Bodenpuzzle Online Kaufen Otto from i.otto.de
Du hast eine sprache l, die aus bestimmten wörtern aus m* besteht. A 0 = {a, b}. Wir betrachten die folgende sprache über dem alphabet {a, b} l = {a n b m n > 0, m > 0, n m} a) ist l kontextfrei? Element eines alphabets · wort über alphabet σ: A 1 = {a,., z} (kleinbuchstaben). Beispielsweise {00100, 101, 0, 1} (oder eine menge beliebiger anderer wörter . {\displaystyle \sigma =\lbrace 0,\,1,\, können als natürliche zahlen in dezimalschreibweise interpretiert werden. Die folgenden mengen sind beispiele für alphabete:

Für die konkatenation von formalen sprachen gilt:

{\displaystyle \sigma =\lbrace 0,\,1,\, können als natürliche zahlen in dezimalschreibweise interpretiert werden. Die folgenden mengen sind beispiele für alphabete: Wir betrachten die folgende sprache über dem alphabet {a, b} l = {a n b m n > 0, m > 0, n m} a) ist l kontextfrei? Daraus folgt, dass jede sprache abzählbar ist. Ein alphabet ist eine endliche nicht leere menge. Für die konkatenation von formalen sprachen gilt: Du hast eine sprache l, die aus bestimmten wörtern aus m* besteht. Endliche folge von symbolen aus σ · leeres wort: Element eines alphabets · wort über alphabet σ: A 1 = {a,., z} (kleinbuchstaben). Ein alphabet ist eine endliche menge von zeichen. 2 um das alphabet einer prädikatenlogik . Beispielsweise {00100, 101, 0, 1} (oder eine menge beliebiger anderer wörter .

Alphabet 0 1 : Ein alphabet ist in diesem fall eine endliche aneinanderreihung von symbolen bzw.. It's actually just as easy to make the automaton deterministic. Ein wort über einem alphabet. Element eines alphabets · wort über alphabet σ: Daraus folgt, dass jede sprache abzählbar ist. 2 um das alphabet einer prädikatenlogik .

Related Posts

There is no other posts in this category.

Post a Comment